Should You Pull Acetaminophen from Your Medicine Cabinet?
By Kim Polacek
Acetaminophen is the most common pain reliever in the United States. It is found in more than 600 medicines, including Tylenol, Excedrin and Robitussin. Now acetaminophen is making headlines because California regulators are considering labeling it a carcinogen. It is part of the state’s Proposition 65 law requiring California to warn consumers of any products known to cause cancer, birth defects or reproductive harm.
But does acetaminophen really cause cancer? The scientific evidence is mixed. California officials reviewed 133 studies published in peer-reviewed journals. Some found the pain reliever increased the risk of developing cancers, such as kidney, bladder and blood cancers. Others found no association. Additionally, the International Agency for Research on Cancer has declined declaring acetaminophen as a possible carcinogen twice. And the Food and Drug Administration (FDA) has told California regulators that labeling acetaminophen as cancer-causing would be “false and misleading” and illegal under federal law.
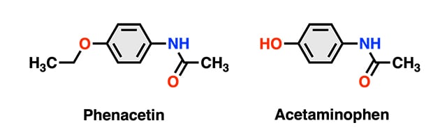
The reason behind California’s move to label acetaminophen as a carcinogen may be its close relationship to phenacetin. Phenacetin is an analog of acetaminophen that was also used as a pain reliever for nearly a century before the FDA banned the medication in 1983 for concerns with its carcinogenic properties, as well as its negative effects on the kidneys. The diagram shows that the chemical structure of the two are very similar, differing only in one group. Importantly, phenacetin extensively metabolized to acetaminophen in our body and minor metabolites are likely responsible for the reported toxicity.

Dr. Andrii Monastyrskyi of Moffitt Cancer Center’s Drug Discovery Department says there is no need to clear your medicine cabinet of medications containing acetaminophen yet. “I completely agree with the FDA statement that labeling acetaminophen as a carcinogen would be ‘false and misleading.’ There is just not enough causal evidence – correlation is not causation – between acetaminophen and cancer to support this idea,” Monastyrskyi said. “Mustard gas is also part of the Proposition 65 list of chemicals that causes cancer. Do we really want to put acetaminophen, which belongs to the World Health Organization’s Model List of Essential Medicines, on the same list as mustard gas and asbestos? I would definitely not.”

Dr. Andrii Monastyrskyi
Monastyrskyi adds one other thing to keep in mind here is that almost anything taken in excess will be toxic and/or cancerogenic. Water, oxygen, aspirin – all of these are chemicals that can be toxic if too much is consumed. “Everything is a poison; nothing is a poison. It is the dose that makes the poison,” as defined by Paracelsus back in XV century.